模态框(Modal)标题

在这里添加一些文本

模态框(Modal)标题

  • Journal
  • Article
  • Figure
  • Search
  • Sign In
Journal of Library and Information Sciences in Agriculture
  • About journal
    • About journal
    • Editorial board
    • Indexed-in
  • Browse
    • Accepted
    • Current Issue
    • Archive
    • Most Download
    • Most Read
    • Most Cited
    • Browse by Column
    • Special Issue
    • Virtual Issue
  • Author Center
    • Submission
    • Guidelines
    • Manuscript Writing
    • Copyright Agreement
    • Template
    • Charges
  • Subscription
  • Contact us
  • 中文
  • About journal

    • About journal

    • Editorial board

    • Indexed-in

  • Browse

    • Accepted

    • Current Issue

    • Archive

    • Most Download

    • Most Read

    • Most Cited

    • Browse by Column

    • Special Issue

    • Virtual Issues

  • Author Center

    • Submission

    • Guidelines

    • Manuscript Writing

    • Copyright Agreement

    • Template

    • Charges

  • Subscription

  • Contact us

  • 中文

Figure/Table detail
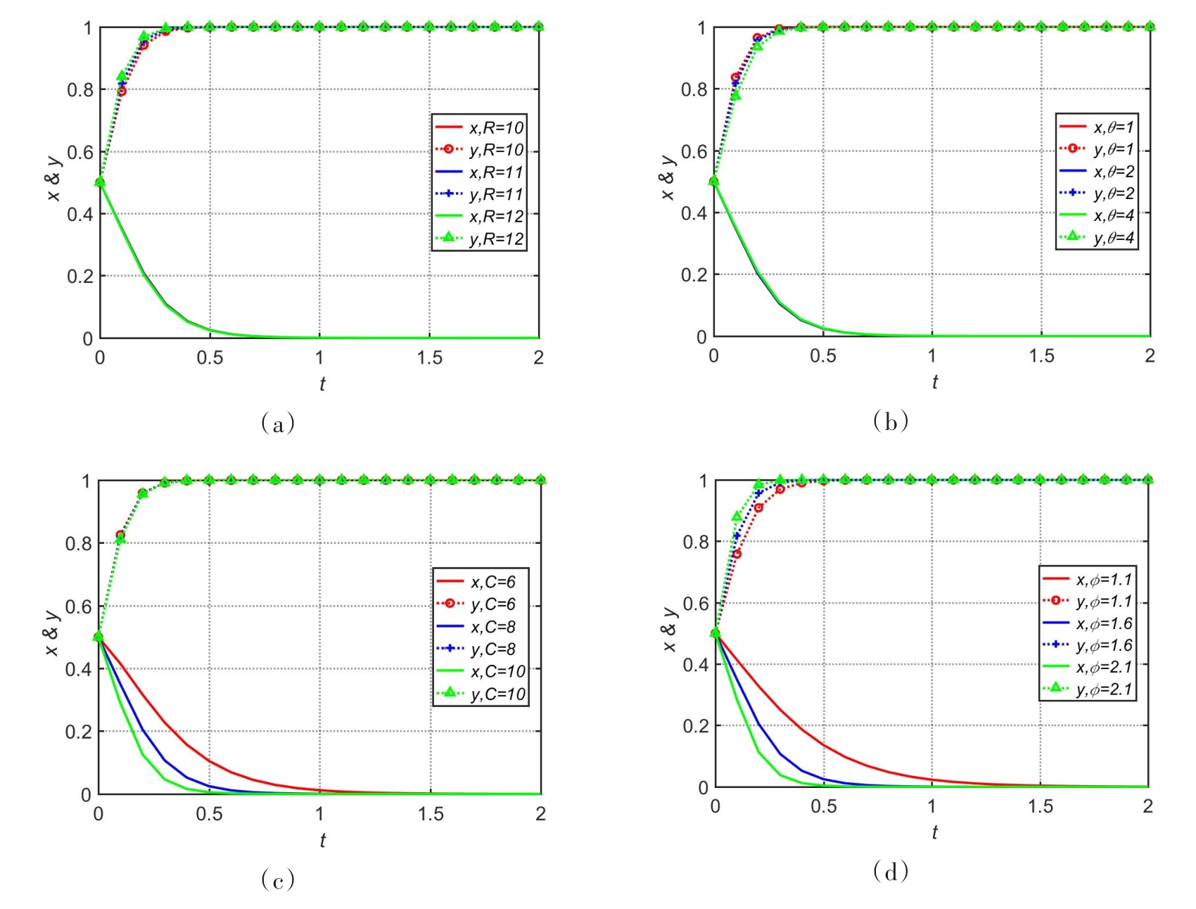
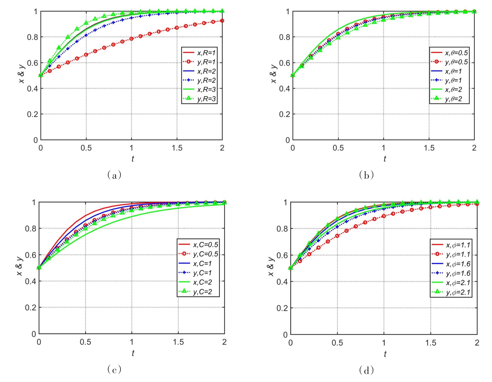
Evolutionary Game Study of the Digital Hoarding Behavior of Social Media Users under Algorithm Recommendations
LIShuqi, LIJian
Journal of library and information science in agriculture, 2026, 38(1): 79-94.   DOI: 10.13998/j.cnki.issn1002-1248.25-0459

Fig.5 Simulation results of public social media platforms
Other figure/table from this article
  • Table 3 Partial derivatives of the evolutionarily stable strategy for the replicator dynamics equations at equilibrium points
  • Table 1 Cost-benefit table of evolutionary game between social media platforms and users
  • Table 2 Payoff matrix of the platform-user evolutionary game
  • Fig.1 Replicator dynamics phase diagram of the user population
  • Fig.2 Replicator dynamics phase diagram of the social media platform
  • Fig.3 Replicator dynamics and stability of the platform-user evolutionary system
  • Fig.4 Simulation results of instant messaging platforms
  • Fig.6 Simulation results of vertical social media platforms
  • Fig.7 Simulation results of short-video social media platforms

Copyright © 2022 Journal of Library and Information Sciences in Agriculture Editorial Office.


京ICP备09089781号-30